This issue of VEEN was originally published as a .PDF in April 2022, and posted online. That issue is now archived, but accessible on the VEEN Archive webpage.
VEEN is curated by WSU Viticulture Extension. For questions on articles, or to request to submit an article in future issues, reach out to Michelle Moyer.
A Note from the Editor
From a dry cold winter, came the warm-then-cool-dry-then-wet spring. As I wrap up editing this issue of VEEN, there is heavy wet snow blanketing the Station’s cherry orchards, and we are facing a week-end of very low temperatures. Fingers crossed for cloud coverage, a little bit of wind, and an incorrect forecast!
So as we watch the weather this spring with very little power to change it, might as well grab a cup of coffee (or tea, or a glass of wine!) and enjoy this issue of VEEN.
Michelle M. Moyer
Viticulture Extension Specialist
WSU Prosser IAREC
Check out these two USDA-NIFA-SCRI Grape Research Projects out of WSU!
- Fungicide Resistance Assessment, Mitigation and Extension Network for Wine, Table and Raisin Grapes (FRAME)
- High Resolution Vineyard Nutrition Management (HiRes)
Table of Contents
- New Phylloxera Management Webpage at wine.wsu.edu
- Automated Shoot Thinning Prototype
- WAVEx Webinar Focuses on Phylloxera
- Mating Disruption for Grape Mealybugs in Washington Vineyards
- Exploring Vineyard Management Practices for Preserving Acidity
- Tailoring Irrigation for White Wine Grapes in Eastern Washington
- Stretching Your Research Dollars
- Ready for Rootstocks? Join Us for Workshops in 2022 and 2023!
New Phylloxera Management Webpage at wine.wsu.edu
By Michelle Moyer, WSU Prosser
A lot has changed since Fall of 2019, when scouting efforts for phylloxera in eastern Washington ramped up. First noticed on an observable scale by vineyard personnel in the far eastern production regions of Washington, we have since identified pockets (of varying sizes) of phylloxera across most of our production regions.
While it is hard to say “fortunately” when dealing with outbreaks of pests such as phylloxera, Washington is at a management advantage: Others before us have battled this challenge, and have continued with quality production. Those regions have created, and curated, a wealth of information on what has worked for the long-term management of vineyards in regions where phylloxera is present, and how to slow the spread and economic losses due to phylloxera outbreaks.
Information is great, but you have to be able to access that information in order to benefit from it. At WSU, we have tried to streamline that process for you by developing a Phylloxera Management webpage, full of links to information on scouting for phylloxera, rootstocks for phylloxera, and understanding whether or not your vineyard location has the soil properties to support phylloxera development. We’ve also included links to basic information on phylloxera biology, as well as links to the past and current rootstock trials underway in Washington State.

WAVEx Webinar Focuses on Phylloxera
By Melissa Hansen, Washington State Wine Commission
Washington wine grape growers are invited to learn about the latest phylloxera research findings during the WAVEx webinar scheduled for April 20, 2022.
Following new discovery of phylloxera in Washington State in 2019, a coordinated and comprehensive research project to learn about phylloxera in the region was initiated in 2020 by Washington State University. The research, supported and funded by the Washington wine industry, is led by Doug Walsh, entomologist and statewide Integrated Pest Management Coordinator; Michelle Moyer, associate professor and statewide Extension viticulturist; and Gwen Hoheisel, regional extension specialist.
In this free webinar, Moyer will share how the risk map was developed and how to read the risk categories and utilize online phylloxera resources. Walsh will discuss preliminary results of his efficacy trials looking at contact and systemic insecticides for control. One pesticide recertification credit has been approved from Washington and Oregon agriculture departments.
The webinar allow time for questions from the audience.
Washington Advancements in Viticulture and Enology (WAVE) and WAVEx are a series of research seminars and webinars sponsored by the Washington State Wine Commission and WSU. WAVEx is the condensed, shorter webinar series. The events help make wine research findings more accessible to growers and wineries.
Register for the webinar here: https://www.washingtonwine.org/wave/
Automated Shoot Thinning Prototype
By Manoj Karkee and Safal Kshetri, WSU Prosser
Shoot thinning in vineyards improves canopy uniformity, spacing, and direction of shoot growth. These are essential for enhancing light penetration and air movement through canopies. When fruiting shoots are removed, the practice can also help adjust crop load and leaf-area-to-crop ratio.
Unfortunately, manual shoot thinning is highly labor-intensive and costly; these cost and labor restrictions have spurred the development of mechanical means to shoot thin. But mechanical shoot thinning isn’t without its challenges. Tractor ground speed and thinning head speed can be variable, and thus result in inconsistent shoot thinning across a vineyard, either leaving too many shoots, or resulting in too many shoots being removed.
Additionally, one of the biggest challenges is the constant adjustments machine operators must do to make sure the thinning head is properly aligned with the height of the cordon. Not only can this height change within a block, it is often variable between vineyard blocks. Thus, the constant adjustment of the thinning head height can lead operator fatigue. In some cases, this means that the operator will not take the time or effort to adjust the thinning head height, resulting in additional variability in shoot thinning results. This challenge can be solved by automating the thinning head height adjustment.
A prototype (Fig. 1) for automated shoot thinning was developed at the WSU Center for Precision and Automated Agricultural Systems (Washington State University-IAREC, Prosser, WA). It was designed to achieve precision shoot thinning and alleviate the need to continuously adjust the thinning heads by the operators. The set-up consists of a camera and prototype electro-mechanical system mounted on a utility vehicle. The camera will acquire images of the grapevine canopies from a moving vehicle, and AI-based image processing techniques (e.g. deep learning) will be used to estimate trajectories of the cordons relative to the ground. Then, two linear actuators, used in the prototype, will move the green shoot thinners precisely to different target positions along the estimated cordon trajectory.

The shoot thinners are cylindrical rollers with flexible plastic whips and are designed similar to currently available commercialized thinning heads. The green shoot thinning system can be operated gently or aggressively along different sections of the cordons depending on the density of shoots to be removed. The distance between the cordons and the flexible thinning rods can also be programmatically adjusted allowing the rods to either contact the cordon or avoid it. This technology is now being integrated with a commercially available green shoot thinner in partnership with VineTech (Prosser, WA) for potential commercialization of an automated thinning machine in near future. If successful, this technology will facilitate the development and adoption of multi-row, precision green shoot thinning machine.
Take our Shoot-Thinning Survey!
We cordially invite vineyard managers and supervisors involved with vineyard canopy management to provide feedback on shoot thinning through the below survey: https://wsu.co1.qualtrics.com/jfe/form/SV_9ABAErxbvcP49G6
Mating Disruption for Grape Mealybugs in Washington Vineyards
By Stephen Onayemi, Graduate Student, and Doug Walsh, WSU Prosser
Grapevine leafroll disease (GLD), caused by grapevine leafroll-associated viruses (GLRaVs), is the most economically destructive viral disease in Washington State vineyards[1]. GLD can cause up to 60% yield loss [2]. Grape mealybugs (GMB) are the primary vectors of grapevine GLRaVs in Washington State [3]. One infected grape mealybug crawler can transmit 10-20% GVLRaV-3 [4]. GMB can also be a late-season direct pest of fruit clusters [5].
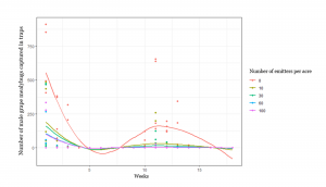
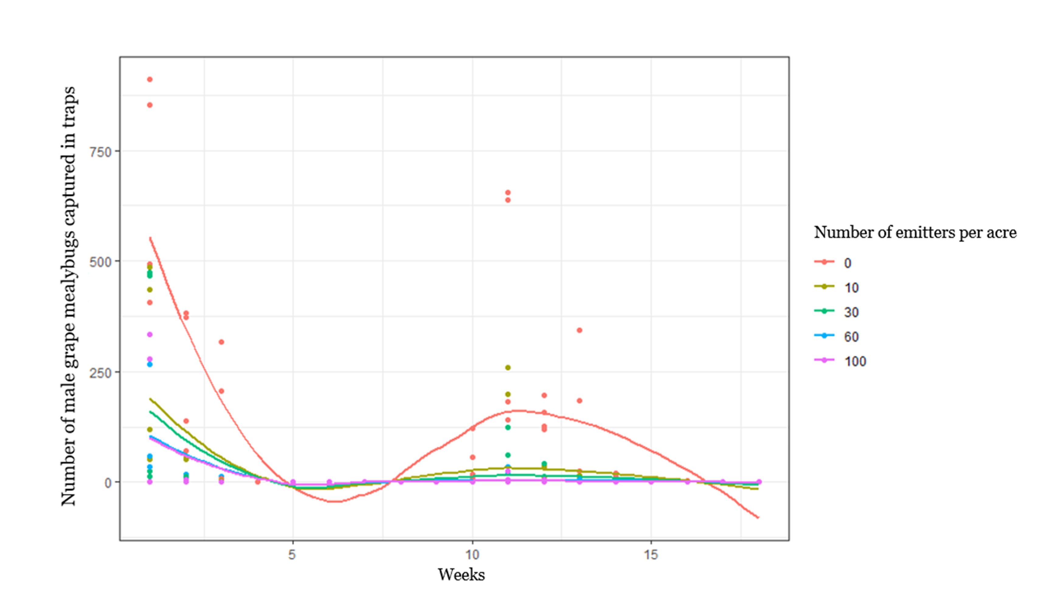
Growers using imidacloprid for managing GMB are reporting insecticide resistance or field control failures [5]. Our objective was to deploy pheromone dispensers in vineyards and use mating disruption as an alternative-to-imidacloprid IPM strategy to potentially reduce the abundance of GMB. Our study was designed to quantify the titer of pheromone required to achieve a near shutdown of the capture of male Ps. maritimus (GMB) in sentinel traps in our research plots by varying the number of dispensers (Fig. 1) deployed on a per-acre basis.

What is Mating Disruption?
Mating disruption is the use of artificially synthesized pheromone at a high concentration in a confined area to prevent the ability of males (Fig. 2, top) to locate and mate with “calling” females (Fig. 2, bottom) releasing sex attractant pheromones. Shutting down this chemical-based communication between females and males prevents mating and blocks the reproductive cycle [6,7]. Here, we used the artificial GMB pheromone (S)-(+)-Lavandulyl senecioate embedded in the plastic-coated twist-tie dispenser dispensers provided by Pacific Biocontrol® [7].

Materials and Methods
We deployed twist-tie pheromone-imbibed dispensers and spaced them evenly at 0, 10, 30, 60, and 100 dispensers per acre in two replicates of 5-acre wine grape blocks in late May 2021 in a vineyard located near Paterson, WA. One block was grown under WSDA organic certification and the other was in conventional production. Both plots were older, highly riddled with GVLRaV-3, and heavily infested with GMB. Two sentinel traps (Fig. 3) were placed in the center row of each 5-acre plot and baited with lures from Trece®. Traps were monitored weekly from late May to October 2021.

Results
Dispensers deployed at 60 and 100 dispensers per acre nearly achieved sentinel trap capture shut down of male GMB. There were two mating flights, one in early May to early June, and the second from late July to early August. We deployed our pheromone dispensers too late in May to suppress the first flight.
It appears that mating disruption is achieved at when approximately 60 of the dispensers provided by Pacific Biocontrol® were distributed per acre (Fig. 4). We will continue these trials in 2022, with replication in multiple vineyards.

What category of mating disruption is this?
There are two major categories of mating disruption [7]: competitive and non-competitive. Under competitive disruption, there is no disruption or impairment experienced from the male, female, or signal from females. Males can respond to females, (sentinel) traps, and pheromone dispensers.
Competitive disruption is a numbers game such that the ratio of dispensers to females and traps is very important, making this control method pest-density dependent. There is a chance that the males may mate with some females since this mating disruption category is pest density-dependent [7]. It appears that this mating disruption is competitive.
Conclusion
Mating disruption could be an important tool in managing grape mealybugs in vineyard IPM programs if GMB pheromone can be produced in sufficient quantities and distribution of dispensers can be mechanized. Mating disruption is an alternative IPM strategy that has the potential to:
- Slow down the spread of GLRaVs.
- Mitigate insecticide resistance development.
- Prevent harm to beneficial insects.
- Reduce pre-harvest and re-entry interval in vineyards.
- Eliminate potential secondary pest outbreaks due to insecticide application.
References
- Naidu, R., A. Rowhani, M. Fuchs, D. Golino, and G.P. Martelli. 2014. Grapevine Leafroll: A Complex Viral Disease Affecting a High-Value Fruit Crop. Plant Dis. 98: 1172–1185
- O’Hearn, J.S., and D.B. Walsh. 2020. Effectiveness of imidacloprid, spirotetramat, and flupyradifurone to prevent spread of GLRaV-3 by grape mealybug, Pseudococcus maritimus (Hemiptera: Pseudococcidae). J Plant Dis. Prot. 127: 805–809
- Jarugula, S., O.J. Alabi, R.R. Martin, and R.A. Naidu. 2010. Genetic Variability of Natural Populations of Grapevine leafroll-associated virus 2 in Pacific Northwest Vineyards. Phytopathology 100: 698–707
- O’Hearn, J.S., and D.B. Walsh. 2021. Grapevine Leafroll-associated Virus 3 Vectored by Pseudococcus maritimus at Low Population Levels. J. Ento. Sci. 56: 106–110
- Bahder, B.W., R.A. Naidu, K.M. Daane, J.G. Millar, and D.B. Walsh. 2013. Pheromone-Based Monitoring of Pseudococcus maritimus (Hemiptera: Pseudococcidae) Populations in Concord Grape Vineyards. J. Econ. Ento. 106: 482–490
- Carde, R.T., and A.K. Minks. 1995. Control of moth pests by mating disruption: successes and constraints. Ann. Rev. Ento. 40: 559–585
- Miller, J.R., and L.J. Gut. 2015. Mating Disruption for the 21st Century: Matching Technology With Mechanism. Envi. Ento. 44: 427–453
Exploring Vineyard Management Practices for Preserving Acidity
By Evan Fritzke, Graduate Student, WSU Prosser
n wine taste perception. The perception of acidity is a balance of multiple factors, not limited to the concentrations of major organic acids and the pH of the wine. Wines made from grapes with low acidity may taste unbalanced and are more susceptible to microbial spoilage, especially if the pH is too high. Grapes grown in warm climates like eastern Washington often have lower titratable acidity than grapes grown in cooler climates. When grown under higher temperatures malic acid in berries can degrade quickly.
How can acidity be preserved in warm climates?
Previous research has shown that acids accumulate in the berries after fruit set until veraison, and that some acids (e.g., malate) are degraded during the ripening phase of the berries [1]. Keeping the berries cool during ripening would limit the loss of acidity at harvest but increasing the amount of acid produced may also help with increasing the acid left at the end of the season [2].
In typical eastern-Washington deficit irrigated vineyards, providing more water to the vines could help them stay cool during the heat through transpiration-based cooling. Canopy management, through increasing or decreasing cluster exposure to the sun, can also alter berry temperature.
Removing leaves on the eastern side of the canopy in the fruit zone a few weeks after fruit set will increase the temperature of the berries by exposing them to more heat from the sun during the morning. By removing leaves on only the east side of the canopy, the chances of sun damage are reduced.
If leaves were removed on the west side of the canopy, those berries would be exposed to sunlight in the afternoon, the hottest part of the day. The combination of hotter ambient temperatures, and the heat from the sunlight could cause serious damage to the berries. Allowing the berries to be shaded by the canopy while they ripen will reduce their temperature by reducing the amount of sunlight they receive (Fig. 1).

To test if shaded berries, during ripening, are cooler (and preserve acidity than exposed berries, we conducted an experiment at the WSU Roza vineyard in 2021 with Riesling and Chardonnay.
Along with these two varieties, two irrigation strategies and three canopy management techniques were tested. The full irrigation treatment replenished all the water lost by the vine weekly, as measured by weekly soil moisture measurements. The deficit irrigation treatment supplied half the amount of water of the full treatment. Within each irrigation treatment, vines either received leaf removal in the eastern fruit zone 3 weeks after fruit set and shading at the onset of berry softening, just leaf removal, or no alteration in canopy management (control).
We hypothesized that removing leaves shortly after fruit set would stimulate the production of acid. Once the berries began to ripen, shading them by hanging shoots from the canopy in front of them, would reduce the temperature of the berries and limit the loss of acidity (Fig. 2). These two changes to the canopy may work in concert to provide the most possible acid at the end of the season.

The water status of the vines was tracked from budbreak to harvest, and berry samples were taken for later analysis. These berries were analyzed for several different traits, including the pH, titratable acidity (TA), and the malic and tartaric acid concentrations present in the berries. These two organic acids contribute the majority of the organic acids in grapes and should be a strong indicator of the acidity of the wine.
Analyses of the canopy treatments, exemplified by thermal images (Fig. 2), showed that canopy treatments consistently altered the temperature in the fruit zone. However, the canopy management treatments did not result in any significant differences in juice composition.
But the clearest effect on vine development was the effect of the irrigation treatments, which we will focus on. Chardonnay vines that received full irrigation had higher TA than the vines that were grown under deficit irrigation (Table 1) in 2021. This result was not as clear for the Riesling, as TA did not show a significant difference between the two irrigation treatments. The concentration of malic acid shows differences from what the TA suggests.
Malic acid in Chardonnay was found in lower concentrations in the deficit irrigation vines. Riesling grapes did show differences in malic acid concentrations in deficit irrigated vines (Table 1). This is not represented in the TA results, which showed no differences between any of the treatments. There were no significant differences in pH or tartaric acid between the treatments in either variety (Table 1).
Conclusions
Acidity is a key property in wine quality and maintaining acidity in warm climates is an increasing concern. This experiment shows that irrigation may be a more effective way to alter juice acidity than canopy management. While the canopy treatments did alter cluster temperatures, this did not necessarily affect the pH, which is a key determinant in a wine’s stability. Irrigation management can be an important tool for growers in eastern Washington to produce high quality white wine grapes.
References
- Ruffner, H.P. 1982. Metabolism of tartaric and malic acid in Vitis. Vitis 21:247-259
- Sweetman, C., L.G. Deluc, G.R. Cramer, C.M. Ford, and K.Ll Soole. 2009. Regulation of malate metabolism in grape berry and other developing fruits. Phytochemistry 70: 1329-1344
Tailoring Irrigation for White Wine Grapes in Eastern Washington
By Geraldine Diverres, Graduate Student, WSU Prosser
n vineyards seek to exploit the vine’s biological response to stress to improve fruit quality and save water without incurring significant yield losses [1]. Current recommendations are generic and focus on avoiding water stress from bud break to fruit set as this can negatively impact yield and vine balance.
After fruit set, mild to moderate water stress is recommended to control canopy growth, berry size, and to promote the development of desirable chemical compounds in the fruit [2].
There are several different strategies for controlled irrigation approaches. Regulated deficit irrigation (RDI) is the most adopted strategy in eastern WA. This technique restricts the water supply below the vine’s total needs, generating mild to moderate levels of water stress at specific times of development. When done correctly, water use efficiency and fruit quality are improved.
Partial rootzone drying (PRD) is another approach (Fig. 1). This method generates a spatial water deficit by applying water only to a portion of the root system. The drying soil in the section that was not irrigated triggers a series of chemical signaling that induces water conservation strategies in the vine. Simultaneously, the other portion of the roots receives the irrigation water and can supply and maintain vines’ water potential [3].

The problem with RDI, is that many of the attributes it is used for – smaller berries, higher tannins and phenolics, smaller canopies with exposed fruit – are typically attributes desired in red wine grapes, not white wine grapes. Can PRD be the irrigation strategy that promotes water conservation while maintaining fruit quality in white wine grapes?
For three years (2019, 2020, and 2021), we conducted a series of irrigation experiments on Vitis vinifera ‘Riesling’. Irrigation scheduling was based on soil moisture readings and cross-checked with midday leaf water potential to maintain vines within the targeted levels of water stress. The average water consumption per vine per season was 16.2 acre-inches in fully irrigated (control) vines, 13.4 in PRD-irrigated vines, and 11.2 in RDI-irrigated vines (Table 1).
Vines under RDI had smaller canopies, yielding approximately 15% less fruit than the non-stressed control. The reduction in canopy development translated into more sun exposure of the clusters. RDI fruit received on average 10% more sunlight than the control and 5% more sunlight than PRD (Table 1).
PRD-irrigated vines were as vigorous and developed canopies as large as the fully irrigated vines while consuming almost 3 acre-inches less irrigation water. However, PRD yield was also reduced, producing 1 ton/acre less than the control (the same as RDI). Wine analyses will determine if this change in the canopy microclimate translates into wines with less bitterness and astringency.
Fruit maturity parameters (soluble solids, pH, and titratable acidity) at harvest did not differ between the irrigation treatments across all years. Wines from the three vintages were made at the Washington State University – Wine Science Center.
An informal tasting performed by the winemakers revealed that the RDI wines have a higher perceivable bitterness than the control and the PRD wines. Further composition analysis and phenolic quantification results will determine if, as hypothesized, PRD is a better irrigation strategy when compared to RDI to produce high end white wines in arid regions like eastern Washington.
Precision Irrigation
Proper deficit irrigation requires precise control of water stress. It is essential to develop reliable techniques for monitoring and assessing the grapevine water stress along the growing season.
This irrigation trial generated a vineyard with different levels of water stress. Framed in this project, automation researchers are working to develop a non-destructive, robust, and reliable method for water stress detection in grapevines using hyperspectral imaging. Stay tuned for these results!
More information on precision irrigation was recently highlighted in the Good Fruit Grower, in an article titled: Spectrum smart vineyard irrigation
References
- Romero, P., R. Gil-Muñoz, F.M. del Amor, E. Valdés, J.I. Fernández, and A. Martinez-Cutillas. 2013. Regulated deficit irrigation based upon optimum water status improves phenolic composition in Monastrell grapes and wines. Agri. Water Mgmt. 121
- Chalmers, Y. M., G. Kelly, and M.P. Krstic. 2003. Partial rootzone drying of Vitis vinifera cv. ‘Shiraz’ winegrapes in a semi-arid climate. In IV International Symposium on Irrigation of Horticultural Crops, 664 (September)
- McCarthy, M. G., B.R. Loveys, P.R. Dry and M. Stoll. 2002. Regulated deficit irrigation and partial rootzone drying as irrigation management techniques for grapevines. Deficit Irrigation Practices, FAO Water Reports, 22
Stretching Your Research Dollars
By Melissa Hansen, Research Program Director, Washington State Wine Commission
Research grant programs help leverage V & E research in Washington State
A cornerstone of the Washington wine industry’s wine research program is to fund viticulture and enology research strategically and sustainably. The Washington State Wine Commission has worked the last six years to expand support for research grant programs, create new grant programs, and encourage scientists to leverage research grants for additional funding.
Viticulture and enology research for the Washington wine industry has topped $1M the last five consecutive years, representing 30 percent growth since 2016.
The Washington State Wine Commission is committed to supporting research—about 25 percent of its annual $5M budget helps fund research projects, supports WSU research vineyards in Prosser and WSU’s Wine Science Center in Richland, and makes available research results for all wine grape growers and wineries in the state.
Research is a long-term investment. Because most projects require at least three to five years of study, financial stability is important to ensure funds are available for project completion. Additionally, research is often expensive due to high-tech laboratories, specialized equipment, and technical staff. With numerous challenges in wine grape growing and winemaking, there’s never a shortage of research topics. Both the research partners at WSU and industry research committees look for ways to stretch existing research dollars.
Key Grant Programs
Of the hundreds of competitive research grant programs available, only a few are specific to viticulture and enology research in Washington State. Below is a summary of programs that are key to the Washington wine industry:
- Washington State Grape and Wine Research Program: established in the 1960s, eligible to WSU scientists. Proposals are reviewed by the Wine Research Advisory Committee, a subcommittee of the Washington State Wine Commission. Recommendations from WRAC are approved by the Washington State Wine Commission Board of Directors. This program funds most V & E research projects conducted by WSU and has provided about $1M for research in each of the last five years. Financial support comes from Washington State Wine Commission, WSU, state liter tax on all wine sold, and the Auction of Washington Wines.
- Washington State Wine Commission Research Grant Program: includes one-year demonstration grants open to Washington community colleges and universities and research grants for scientists outside WSU. Created three years ago by the Washington State Wine Commission to facilitate research collaboration with other wine regions. Financial support comes from the Washington State Wine Commission.
- Northwest Center for Small Fruits Research – a research consortium established in 1980 to solve Pacific Northwest regional problems of grapes and berries. The Center partners with industry, land grant universities (WSU, Oregon State University and University of Idaho) and U.S. Department of Agriculture scientists to make efficient use of scientific expertise and research dollars. Headquartered in Corvallis, OR, the center coordinates a competitive grant program, funded through USDA. The grant program funded about $700,000 of viticulture and enology research last year, including several projects by WSU scientists.
- National Grape Research Alliance: works to align the priorities for research across all U.S. grape industries—juice, wine, raisin and table grape. Although NGRA doesn’t fund research directly, the voluntary organization has secured more than $45M in funding for grape research and new federal research units and scientists since its inception in 2003. These efforts include NGRA-sponsored research projects that have received millions from the USDA Specialty Crop Research Initiative, such as the current High-Resolution Vineyard Nutrition Management project led by WSU’s Dr. Markus Keller. The Washington State Wine Commission is a member of the NGRA Board of Directors.
- Washington State Commission on Pesticide Registration: established by the legislature in 1995 to ensure Washington growers have access to safe and effective pest control products. Projects require industry matching funds and must relate to pest and disease control. This year, the Commission awarded grants that totaled nearly $490,000. The Commission has supported more than 35 grape projects since its inception.
- Washington State Department of Agriculture Specialty Crop Block Grant Program – authorized by USDA: funds are appropriated to WSDA to enhance the competitiveness of Washington’s specialty crops. Grant award maximum is $250,000. Total amount awarded in recent years has been around $4.6M.
- Specialty Crop Research Initiative (SCRI): authorized by USDA to address key challenges of national, regional and multi-state importance. This year, $80 million will be provided. Grant awards range from $50,000 to $10M, but it’s a very competitive program and only about 20% of applications are successful.
Leveraging Research Dollars
All the above mentioned grant programs are competitive and there are usually many more proposals submitted than funds can support. Typically, WSU V & E scientists first apply to the statewide Grape and Wine Research Program. If successful there, scientists are often able to leverage the industry’s support to parlay it into awards from other grant programs. Some programs require industry funding as proof that the research is impactful and important to stakeholders. These “seed” projects can lead to large grant awards from other programs.
WSU researchers have a great track record of successfully leveraging these “seed” projects for additional funds. Recent examples of projects include the new leaffolder pest, wine spoilage, yeasts, leafroll virus, powdery mildew and smoke impacts to vineyard nutrition, irrigation, wine quality and phylloxera. Some projects have leveraged $10,000 in additional money, while others are in the $250,000 range. In the past, projects like grapevine leafroll virus research generated an impressive $8 of additional research for each $1 invested by the Grape and Wine Research Program.
The mother lode of leveraged money is the federal SCRI program. The Washington wine industry, by initially funding WSU research related to smoke impact on grapes and wine, powdery mildew resistance to fungicides and optimizing sampling protocols for vineyard nutrition, leveraged about $400,000 in grants to more than $17M from the SCRI program. Because of their collaborative nature, SCRI grants are usually shared between several universities and many scientists, so not all the money stays at WSU. Nonetheless, a 40% return on investment is exceptional.
A hearty thank-you to the WSU V& E scientists for the extra effort it takes when submitting to multiple grant programs. Stretching the industry’s research investment is a true partnership of the industry’s initial seed investment and effort by researchers to leverage industry dollars. When those efforts are successful, we’re all winners, from grape growers and wineries to the research community.
Ready for Rootstocks? Join Us for Workshops in 2022 and 2023!
By Michelle Moyer, WSU Prosser
Non-vinifera rootstocks have many positive attributes, and over the last 100+ years, they have been selected for their ability to overcome multiple biotic (phylloxera, nematodes) and abiotic (environmental; e.g., salt, pH, drought) stresses. Regions around the world have guidelines for which rootstocks work best for their area, as they have had decades of practice to get things right.
Washington does not have the same depth of historical rootstock information – but there is no time like the present to start collecting it!
A Western SARE Producer Grant
Modern rootstock trials are best done on-farm. This allows a region to maximize potential evaluation sites and quickly identify potential site-specific nuances in how rootstocks perform. Inland Desert Nursery in Benton City, WA, in cooperation with WSU Viticulture Extension, developed a Western SARE Producer Grant aimed at establishing a rootstock evaluation trial. In addition to planting a small vineyard to evaluate several key rootstocks for the area (Table 1), the grant also includes instructional events like workshops. These workshops will include information on how others can develop their own on-farm evalation and demonstration trials.
Join us in 2022 and 2023 as we explore rootstock options in Washington state, and how these genetic tools can be used for managing abiotic stresses in vines, as well as being the foundation for sustainable pest management in vineyards!
Interested in your own on-farm rootstock trial?
We can help! As a part of this trial, we will be conducting workshops in 2022 and 2023, which include how to plan for your own on farm research or demonstration trial. Check out the Washington State University Events webpage:
Save The Date:
Our first workshop will be on Friday, July 15th 2022






